remundo a dit
"Ce que je souhaite ici, c'est que personne ne s'arcboute sur l'existant (qui bénéficie de millions d'heures et milliards d'euros de mise au point) pour affaiblir - un peu déloyalement - des alternatives crédibles qui ne peuvent naturellement pas encore bénéficier d'un tel recul."
l'histoire est conservatrice, c'est un défi permanent de faire admettre les idées neuves.
la logique industrielle qui cherche récupérer x fois la mise, les financiers qui veulent rassurer les actionnaires, alors on restylise, on met des prothèses, on rajeunit une auto vieille de + de 100 ans.
je propose de créer un société par actionnariat populaire afin de porter le projet vers un concept tournant, puis chercher un business angel pour fabriquer la présérie.
@+
orbes
Piston Octogonal à Géométrie Déformable Contrôlée (POGDC)
- Philippe Schutt
- Econologue expert

- Messages : 1611
- Inscription : 25/12/05, 18:03
- Localisation : alsace
- x 33
Remundo a écrit :Mais d'après mes modestes souvenirs de géométrie, le rond ne remplit pas bien le carré...Petits sacrifices donc sur le volume balayé et le poids du moteur (plus d'acier).
Pas sûr... car le rond a la plus petite périphérie pour la plus grande surface, et la dispersion des efforts est plus régulière sans angles.
Par contre l'assemblage du carter sera plus complexe.
0 x
- Bucheron
- Econologue expert

- Messages : 4731
- Inscription : 07/11/05, 10:45
- Localisation : En montagne... (Trièves)
- x 3
Non, je ne parlais pas de l'étanchéité sur le pourtour, que tu a bien expliqué auparavant et qui ne diffèrent pas de ce qu'on trouve dans les Wankel. Mais les Wankel ont un piston plein à peu près triangulaire si je ne m'abuse ?Remundo a écrit :Dans les versions rotatives, l'étanchéité se fait avec des "apex seals", ou segments analogues à ceux du Wankel. Ces segments raclent le contour, d'autant mieux que la force centrifuge les y plaque naturellement.
Toi, tes "pistons" (par analogie) sont articulés, comment fait tu pour que, comme on le voit sur ton animation que j'ai cité, la pression ne passe pas au travers des articulations ?
Je n'idéalise, rien, monsieur, je cherche à comprendre en posant des questions...Remundo a écrit :Il ne faut pas trop idéaliser les segments du moteur traditionnels à pistons, Messieurs... Il s'usent eux-aussi, les chemises également, et en général, il faut refaire le moteur à 200 ou 300 Mkm (ou bien changer de voiture qui en général n'est pas fraîche et l'intérêt économique de la retaper est très modéré).[...]
Faut pas exagérer non plus !Remundo a écrit :De même, il y a un tas de pièces d'usure dans le moteur à piston, à commencer par la courroie de distribution... qui se change tous les 50 à 100 Mkm. Là, ça ne choque personne...
100 à 120 Mkm (voire 140) plutôt et certains constructeurs reviennent aux chaines, qui ne se changent pas (enfin, au moins sur une durée "standard" de 200 à 300 Mkm).
0 x
"Je suis une grosse brute, mais je me trompe rarement..."
- Bucheron
- Econologue expert

- Messages : 4731
- Inscription : 07/11/05, 10:45
- Localisation : En montagne... (Trièves)
- x 3
Bon, on vraiment du mal à se comprendre...Remundo a écrit :l'étanchéité se fait par film d'huile, cher ami. On peut aussi rajouter des segments.[...]
Je pense que ta réponse parle de :
alors que moi ce qui m'intéresserai, c'est :
Par ailleurs, l'étanchéité par film d'huile est-elle suffisante pour étancher des chambres de combustion (à quelle t°) ? Le film d'huile ne risque-t-il pas de se cokéfier ? Comment fonctionne un Wankel à ce niveau-là ?
0 x
"Je suis une grosse brute, mais je me trompe rarement..."
-
En ligneRemundo
- Modérateur

- Messages : 18966
- Inscription : 15/10/07, 16:05
- Localisation : Clermont Ferrand
- x 7207
Salut mon Bûcheron préféré
Okay, je vois de quoi tu parles...
On distingue dans tous le piston octogonal un réseau de conduits pour le lubrifiant ; notamment ici
toutes les pièces (goupilles, bielles et têtes de pistons ont leurs petits trous pour faire voyager l'huile sur toutes les surfaces en glissement relatif.
Le lubrifiant se répand donc dans le piston octogonal, mais au coeur des pièces et ne subit donc pas les hautes températures de surface liées à la combustion. Car celles-ci sont cycliques et l'essentiel de l'huile est protégée par un effet de peau thermique (analogue à l'effet de peau en électricité pour les connaisseurs).
Effectivement, on peut penser qu'un peu d'huile va épaissir (caramélisation à haute température) en surface. Et bien ça n'est pas gênant. L'effet sera même plutôt bénéfique car elle participera encore mieux à l'étanchéité, en bouchant ainsi les microjeux interpièces, limitant ainsi la conso d'huile.
Je signale quand même que les remontées d'huile à l'état de trace dans les chambres de combustion ne sont pas un phénomène nouveau : les moteurs à piston connaissent ça... Y'en a même qui utilisent les huiles lourdes comme carburant, comme Diesel
Dans le Wankel, il n'y a pas de cokéification à ma connaissance, alors qu'il s'agit de rotors avec une haute puissance volumique, dans le même esprit que mes POGDC.
Okay, je vois de quoi tu parles...
On distingue dans tous le piston octogonal un réseau de conduits pour le lubrifiant ; notamment ici
toutes les pièces (goupilles, bielles et têtes de pistons ont leurs petits trous pour faire voyager l'huile sur toutes les surfaces en glissement relatif.
Le lubrifiant se répand donc dans le piston octogonal, mais au coeur des pièces et ne subit donc pas les hautes températures de surface liées à la combustion. Car celles-ci sont cycliques et l'essentiel de l'huile est protégée par un effet de peau thermique (analogue à l'effet de peau en électricité pour les connaisseurs).
Effectivement, on peut penser qu'un peu d'huile va épaissir (caramélisation à haute température) en surface. Et bien ça n'est pas gênant. L'effet sera même plutôt bénéfique car elle participera encore mieux à l'étanchéité, en bouchant ainsi les microjeux interpièces, limitant ainsi la conso d'huile.
Je signale quand même que les remontées d'huile à l'état de trace dans les chambres de combustion ne sont pas un phénomène nouveau : les moteurs à piston connaissent ça... Y'en a même qui utilisent les huiles lourdes comme carburant, comme Diesel
Dans le Wankel, il n'y a pas de cokéification à ma connaissance, alors qu'il s'agit de rotors avec une haute puissance volumique, dans le même esprit que mes POGDC.
0 x
Le Mouvement Naturellement Energique !
-
En ligneRemundo
- Modérateur

- Messages : 18966
- Inscription : 15/10/07, 16:05
- Localisation : Clermont Ferrand
- x 7207
POGDC non rotatifs et MPRBC en "cylindrée variable"
Les machines POGDC ont 3 types de chambre: centrale, périphérique, et optionnelle périphérique. Au contraire, les machines MPRBC n'ont qu'un seul type de chambre.
Les moteurs de SYCOMOREEN peuvent avoir une cylindrée variable par paliers en désactivant temporairement un certain nombre de chambres, et plus précisément des combinaisons particulières de chambres. Cette nuance n'est pas anodine comme on va le voir...
La désactivation de chambre : difficulté et enjeu
1. Même sur des moteurs modernes, il n'est en général pas très simple de désactiver efficacement les chambres : couper l'injection ne suffit pas car il faut prévoir un système de soupapes qui de préférence maintient les chambres fermées, de manière à éviter les pertes par laminage/pompage de fluide (plus connues sous l'appellation "frein moteur"). Bien que 100% dissipatif, le frein moteur est parfois très recherché (poids lourds...)).
Les moteurs SYCOMOREEN prévoient la fermeture complète (mais temporaire) de chambre dans leur système de soupapes à obturateur rotatif. D'autres systèmes comme des tiroirs électromagnétiques sont aussi envisageables.
2. Autre difficulté, la désactivation de chambre induit des torsions accrues sur le vilebrequin, en particulier si les cylindres restés actifs sont loin de l'entrée de la boîte de vitesses (surtout les V8,V10 et plus...).
3. Enfin, les moteurs à pistons étant déséquilibrés, éteindre 1 piston ou 2 accroît les vibrations car les compensations entre cylindre sont asymétriques si certains sont actifs et d'autre non.
De manière à éviter ces écueils, SYCOMOREEN s'est attaché à concevoir des moteurs compacts, parfaitement et naturellement équilibrés.
Malgré ces désagréments, le but de ces désactivations est de réduire la consommation, car une chambre à une consommation spécifique (CSP) optimale à pleine charge, à condition d'éviter le surrégime.
csp d'un 2L TDi allemand à rampe commune, injection directe haute pression
4. La désactivation de chambres n'est pas une technique nouvelle. En effet, la complexité mécanique pour avoir des chambres à "volume max-min" variable a orienté les motoristes sur la désactivation intermittente de chambres pour certains de leurs moteurs (souvent aux extrêmes : énormes V8, V12 ou V16 "surconsommateurs" (où les cylindres sont éteints par 2, voire 4...), ou bien petits 4 cylindres tournant sur 2 ou 3 cylindres à charge partielle pour obtenir une conso mini draconienne).
Cependant, les machines concernées n'ont qu'un seul type de chambre, et donc les paliers de cylindrée sont en k x C / N où:
- C est la cylindrée totale du moteur,
- N le nombre total de chambres,
- k le nombre de chambres restées actives.
Pour un 4 cylindres, le palier est 25%, ce qui offre une flexibilité limitée.
La proposition de SYCOMOREEN et ses conséquences
Toute l'astuce proposée par sYCOMOREEN est d'avoir PLUSIEURS types de chambre de volumétries différentes.
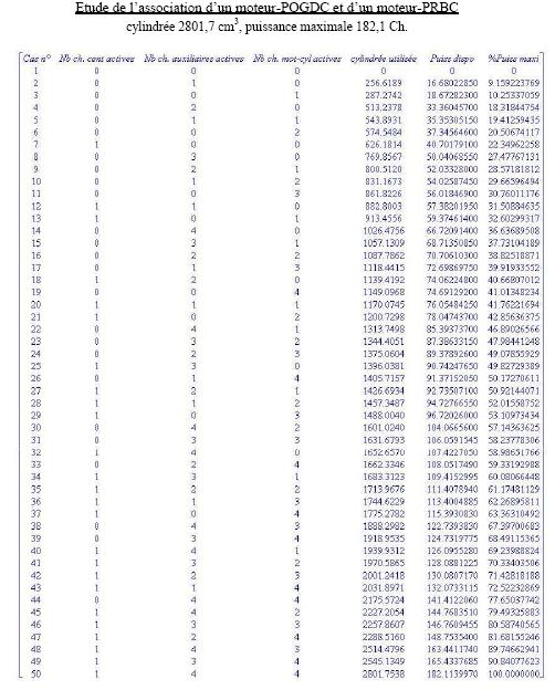
Par exemple, le POGDC1650 non rotatif présente 4 chambres périphériques de 256 cm3 et 1 chambre centrale de 313 cm3 (X2 = 613 cm3 car pulse 2 fois plus vite)
Avec ses 5 chambres, le POGDC non rotatif est déjà capable de resserrer ses paliers : le plus petit est de 7% alors que dans le schéma classique, ils seraient tous de 20%.
On s'attendait intuitivement à 100/5 = 20%... Comment est-ce possible ?
Avec des chambres de volumétries inégales, les combinaisons de chambres activées croissent, non plus linéairement, mais exponentiellement avec le nombre de chambres : les niveaux de puissance partielle sont alors beaucoup plus nombreux et leurs écarts peuvent devenir de plus en plus fins. Voici rapidement le raisonnement:
Quelques exemples
Par exemple, le POGDC1650 sans chambre optionnelle possède à lui seul 10 niveaux de puissances partielles : 0% 15% 31% 38% 46% 53% 62% 69% 84% 100%
La simple combinaison 1POGDC1650 + 1 MPRBC1150 donne 50 paliers : les écarts typiques sont de 1 à 2%, pourtant le moteur n'a que 9 chambres... Un 9 cylindres aurait eu des paliers de plus de 10% !
La combinaison plus "affutée" 1POGDC1650 + 2 MPRBC1150 donne 90 paliers : les écarts typiques sont moins de 1% pourtant le moteur n'a que 13 chambres... Un 13 cylindres aurait eu des paliers de plus de 7% !
Un moteur haut de gamme typique est l'association de 1 POGDC 1650 cm3 avec 4 MPRBC 1150 cm3 : cylindrée 6250 cm3 (avec mécanisme de conversion sans surmultilobage : cylindrées indiquées sur 2 tours de rotor pour chaque moteur)
Puissance prévue (sur la base 65 Ch./Litre cylindrée) : 406 ch et 170 paliers de puissances partielles possibles (il n'a que 21 chambres... remarquer l'écart 21<<170).
Le lecteur se rendra compte que ces chiffres ne sont pas "forcés" puisqu'ils résultent de moteurs POGDC sans chambres optionnelles périphériques, lesquelles, de volumétrie encore différente, ferait exploser le nombre de combinaisons.
A un tel niveau de finesse entre paliers de puissance, tout se passe comme si la cylindrée était presque continûment variable. Mais tout en gardant une cinématique simple et robuste pour le moteur.
Le lecteur exigeant pourra trouver ici une présentation plus complète, adaptée d'un document de 2005, MPRBC est parfois désigné sous le terme "moteur-cylindre", les chambres périphériques qualifiées "chambres auxiliaires" (époque où l'ami Remundo n'avait pas totalement figé la sémantique du projet
Quid des POGDC Rotatifs ?
De même, les POGDC rotatifs peuvent désactiver leurs chambres de combustion et atteindre de très nombreuses puissances partielles.
Sur les chambres périphériques, il s'agira de ne pas avoir de combustion à chaque compression (injecteur coupé X fois sur Y passage, avec X<Y), mais sans gérer de soupapes (absentes). Nous parlons ici d'injecteur car à moins d'accepter des pertes directes en carburant, un tel fonctionnement interdit les carburateurs qui mélangent air et carburant AVANT les chambres (procédé rustique de toute façon largement abandonné actuellement)
sur la chambre centrale, même chose avec gestion de soupapes (sauf dans le cas où maximiser la puissance est l'objectif n°1, SYCOMOREEN préconise d'utiliser la chambre centrale en pompe/compresseur pour un stockage récupératif pneumatique).
Et l'aspect industriel ?
Nous avons déjà expliqué que la nouvelle architecture des MPRBC ou POGDC induisait une réduction considérable des masses d'acier, avec environ 22 kg/Litre de cylindrée (sans surmultilobage pour la conversion du mouvement).
A la lumière des associations de machines MPRBC/POGDC et de leur grande aptitude pour les puissances partielles, il y a un autre grand gisement de réduction des coûts : la standardisation massive.
En effet, et c'est un exemple, avec 2 types de carter (POGDC/MPRBC), 1 POGD standard et des pistons rotatifs standards, on fabrique une gamme très étendue de moteurs, partant - avec les cylindrées proposées ici - de 70 Ch. pour atteindre des centaines de chevaux, avec toutes les puissances intermédiaires "imaginables".
En changeant les dimensions (et PAS FORCEMENT les pièces de base...), et notamment simplement l'épaisseur des moteurs (avec des pièces stratifiées à la fabrication, puis rigidifiées à l'assemblage), on peut moduler encore plus finement avec des séries énormes de pièces (par ex, chaque tête de piston ou bielle peut se composer de 3 plaques type 1 + 3 plaques type 2 pour obtenir la charnière).
Par moteur POGDC pour un type de plaque : 4 x 3 = 12 pièces : 100 000 moteurs = 1 200 000 pièces.
Dans le même genre, 100 000 moteurs MPRBC à 2 paires de pistons = 400 000 pistons rotatifs. Si chaque piston = 6 pièces empilées puis rigidifiées : 2 400 000 pièces.
Les machines POGDC ont 3 types de chambre: centrale, périphérique, et optionnelle périphérique. Au contraire, les machines MPRBC n'ont qu'un seul type de chambre.
Les moteurs de SYCOMOREEN peuvent avoir une cylindrée variable par paliers en désactivant temporairement un certain nombre de chambres, et plus précisément des combinaisons particulières de chambres. Cette nuance n'est pas anodine comme on va le voir...
La désactivation de chambre : difficulté et enjeu
1. Même sur des moteurs modernes, il n'est en général pas très simple de désactiver efficacement les chambres : couper l'injection ne suffit pas car il faut prévoir un système de soupapes qui de préférence maintient les chambres fermées, de manière à éviter les pertes par laminage/pompage de fluide (plus connues sous l'appellation "frein moteur"). Bien que 100% dissipatif, le frein moteur est parfois très recherché (poids lourds...)).
2. Autre difficulté, la désactivation de chambre induit des torsions accrues sur le vilebrequin, en particulier si les cylindres restés actifs sont loin de l'entrée de la boîte de vitesses (surtout les V8,V10 et plus...).
3. Enfin, les moteurs à pistons étant déséquilibrés, éteindre 1 piston ou 2 accroît les vibrations car les compensations entre cylindre sont asymétriques si certains sont actifs et d'autre non.
De manière à éviter ces écueils, SYCOMOREEN s'est attaché à concevoir des moteurs compacts, parfaitement et naturellement équilibrés.
csp d'un 2L TDi allemand à rampe commune, injection directe haute pression
4. La désactivation de chambres n'est pas une technique nouvelle. En effet, la complexité mécanique pour avoir des chambres à "volume max-min" variable a orienté les motoristes sur la désactivation intermittente de chambres pour certains de leurs moteurs (souvent aux extrêmes : énormes V8, V12 ou V16 "surconsommateurs" (où les cylindres sont éteints par 2, voire 4...), ou bien petits 4 cylindres tournant sur 2 ou 3 cylindres à charge partielle pour obtenir une conso mini draconienne).
Cependant, les machines concernées n'ont qu'un seul type de chambre, et donc les paliers de cylindrée sont en k x C / N où:
- C est la cylindrée totale du moteur,
- N le nombre total de chambres,
- k le nombre de chambres restées actives.
Pour un 4 cylindres, le palier est 25%, ce qui offre une flexibilité limitée.
La proposition de SYCOMOREEN et ses conséquences
Toute l'astuce proposée par sYCOMOREEN est d'avoir PLUSIEURS types de chambre de volumétries différentes.
Par exemple, le POGDC1650 non rotatif présente 4 chambres périphériques de 256 cm3 et 1 chambre centrale de 313 cm3 (X2 = 613 cm3 car pulse 2 fois plus vite)
Avec ses 5 chambres, le POGDC non rotatif est déjà capable de resserrer ses paliers : le plus petit est de 7% alors que dans le schéma classique, ils seraient tous de 20%.
On s'attendait intuitivement à 100/5 = 20%... Comment est-ce possible ?
Avec des chambres de volumétries inégales, les combinaisons de chambres activées croissent, non plus linéairement, mais exponentiellement avec le nombre de chambres : les niveaux de puissance partielle sont alors beaucoup plus nombreux et leurs écarts peuvent devenir de plus en plus fins. Voici rapidement le raisonnement:
Quelques exemples
Par exemple, le POGDC1650 sans chambre optionnelle possède à lui seul 10 niveaux de puissances partielles : 0% 15% 31% 38% 46% 53% 62% 69% 84% 100%
La simple combinaison 1POGDC1650 + 1 MPRBC1150 donne 50 paliers : les écarts typiques sont de 1 à 2%, pourtant le moteur n'a que 9 chambres... Un 9 cylindres aurait eu des paliers de plus de 10% !
La combinaison plus "affutée" 1POGDC1650 + 2 MPRBC1150 donne 90 paliers : les écarts typiques sont moins de 1% pourtant le moteur n'a que 13 chambres... Un 13 cylindres aurait eu des paliers de plus de 7% !
Un moteur haut de gamme typique est l'association de 1 POGDC 1650 cm3 avec 4 MPRBC 1150 cm3 : cylindrée 6250 cm3 (avec mécanisme de conversion sans surmultilobage : cylindrées indiquées sur 2 tours de rotor pour chaque moteur)
Puissance prévue (sur la base 65 Ch./Litre cylindrée) : 406 ch et 170 paliers de puissances partielles possibles (il n'a que 21 chambres... remarquer l'écart 21<<170).
Le lecteur se rendra compte que ces chiffres ne sont pas "forcés" puisqu'ils résultent de moteurs POGDC sans chambres optionnelles périphériques, lesquelles, de volumétrie encore différente, ferait exploser le nombre de combinaisons.
A un tel niveau de finesse entre paliers de puissance, tout se passe comme si la cylindrée était presque continûment variable. Mais tout en gardant une cinématique simple et robuste pour le moteur.
Le lecteur exigeant pourra trouver ici une présentation plus complète, adaptée d'un document de 2005, MPRBC est parfois désigné sous le terme "moteur-cylindre", les chambres périphériques qualifiées "chambres auxiliaires" (époque où l'ami Remundo n'avait pas totalement figé la sémantique du projet
Quid des POGDC Rotatifs ?
De même, les POGDC rotatifs peuvent désactiver leurs chambres de combustion et atteindre de très nombreuses puissances partielles.
Sur les chambres périphériques, il s'agira de ne pas avoir de combustion à chaque compression (injecteur coupé X fois sur Y passage, avec X<Y), mais sans gérer de soupapes (absentes). Nous parlons ici d'injecteur car à moins d'accepter des pertes directes en carburant, un tel fonctionnement interdit les carburateurs qui mélangent air et carburant AVANT les chambres (procédé rustique de toute façon largement abandonné actuellement)
sur la chambre centrale, même chose avec gestion de soupapes (sauf dans le cas où maximiser la puissance est l'objectif n°1, SYCOMOREEN préconise d'utiliser la chambre centrale en pompe/compresseur pour un stockage récupératif pneumatique).
Et l'aspect industriel ?
Nous avons déjà expliqué que la nouvelle architecture des MPRBC ou POGDC induisait une réduction considérable des masses d'acier, avec environ 22 kg/Litre de cylindrée (sans surmultilobage pour la conversion du mouvement).
A la lumière des associations de machines MPRBC/POGDC et de leur grande aptitude pour les puissances partielles, il y a un autre grand gisement de réduction des coûts : la standardisation massive.
En effet, et c'est un exemple, avec 2 types de carter (POGDC/MPRBC), 1 POGD standard et des pistons rotatifs standards, on fabrique une gamme très étendue de moteurs, partant - avec les cylindrées proposées ici - de 70 Ch. pour atteindre des centaines de chevaux, avec toutes les puissances intermédiaires "imaginables".
En changeant les dimensions (et PAS FORCEMENT les pièces de base...), et notamment simplement l'épaisseur des moteurs (avec des pièces stratifiées à la fabrication, puis rigidifiées à l'assemblage), on peut moduler encore plus finement avec des séries énormes de pièces (par ex, chaque tête de piston ou bielle peut se composer de 3 plaques type 1 + 3 plaques type 2 pour obtenir la charnière).
Par moteur POGDC pour un type de plaque : 4 x 3 = 12 pièces : 100 000 moteurs = 1 200 000 pièces.
Dans le même genre, 100 000 moteurs MPRBC à 2 paires de pistons = 400 000 pistons rotatifs. Si chaque piston = 6 pièces empilées puis rigidifiées : 2 400 000 pièces.
0 x
Le Mouvement Naturellement Energique !
- Bucheron
- Econologue expert

- Messages : 4731
- Inscription : 07/11/05, 10:45
- Localisation : En montagne... (Trièves)
- x 3
Sur ces figures, je suppose que tu parle des conduit "LUB" ? De ce que je peux comprendre, ils servent surtout pour la lubrification "latérale" et donc l'étanchéité des pièces par rapport aux parois, c'est bien ça ?Remundo a écrit :[...]On distingue dans tous le piston octogonal un réseau de conduits pour le lubrifiant ; notamment ici
toutes les pièces (goupilles, bielles et têtes de pistons ont leurs petits trous pour faire voyager l'huile sur toutes les surfaces en glissement relatif.[...]
Mais je ne comprends toujours pas ça :

0 x
"Je suis une grosse brute, mais je me trompe rarement..."
-
En ligneRemundo
- Modérateur

- Messages : 18966
- Inscription : 15/10/07, 16:05
- Localisation : Clermont Ferrand
- x 7207
et là, et ailleurs...
c'est le creux de la charnière, mon homme des bois adoré. Et à chaque fois que la chanière pivote, un nouveau petit film d'huile se met en place en arrière des flèches que tu as si soigneusement dessinées...
de plus, plutôt de me dire "là je comprends pas", j'aimerais mieux que tu me demandes "comment fonctionne telle zone de tel point de vue
...
de plus, plutôt de me dire "là je comprends pas", j'aimerais mieux que tu me demandes "comment fonctionne telle zone de tel point de vue
0 x
Le Mouvement Naturellement Energique !
- Bucheron
- Econologue expert

- Messages : 4731
- Inscription : 07/11/05, 10:45
- Localisation : En montagne... (Trièves)
- x 3
Ah... Et donc un petit film d'huile sur cette "charnière" (quel est la surface de ce type de contact ?) peu supporter les pressions liées à l'explosion d'un mélange air-carburant ?Remundo a écrit :et là, et ailleurs...c'est le creux de la charnière, mon homme des bois adoré. Et à chaque fois que la chanière pivote, un nouveau petit film d'huile se met en place en arrière des flèches que tu as si soigneusement dessinées...
Mes flèches sont dessinées avec les moyens du bord (GIMP, pas trouvé l'outil "flèche"
Remundo a écrit :de plus, plutôt de me dire "là je comprends pas", j'aimerais mieux que tu me demandes "comment fonctionne telle zone de tel point de vue...
Tu veux pas que je te serve du "Monseigneur" aussi pendant que tu y es ?
Ces inventeurs, tous la grosse tête...
Bon, foin de délire mégalomaniaque, reprenons donc notre réflexion dans l'ordre :
- l'étanchéité radiale est assurée par des segments,
- l'étanchéité latérale est assurée par un film d'huile sur une grande surface,
- l'étanchéité de TOUTES les charnières, qui contrôle donc le maintien des différences de pression entre les chambres périphériques et la chambre centrale est aussi assurée par un film d'huile, mais là, les surfaces en jeu sont très réduites...
J'ai quand même comme un doute sur ce dernier point...
"Comment fonctionne cette zone de contact du point de vue de la gestion des différences de pression, Monsignore Inventor
0 x
"Je suis une grosse brute, mais je me trompe rarement..."
-
- Sujets similaires
- Réponses
- Vues
- Dernier message
-
- 264 Réponses
- 126484 Vues
-
Dernier message par Remundo
Consulter le dernier message
03/07/10, 09:24Un sujet posté dans le forum : Moteurs spéciaux, brevets, réduction de consommation de carburant
Revenir vers « Moteurs spéciaux, brevets, réduction de consommation de carburant »
Qui est en ligne ?
Utilisateurs parcourant ce forum : Aucun utilisateur inscrit et 73 invités
